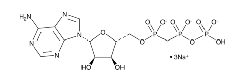
α,β-亚甲基腺苷 5'-三磷酸(钠盐)CAS 1343364-54-4 结构式

α,β-亚甲基腺苷 5′-三磷酸(钠盐)CAS 1343364-54-4

基本信息

CAS(化学文摘登记)号

1343364-54-4

中文名称

α,β-亚甲基腺苷 5′-三磷酸(钠盐)

中文别称

1343364-54-4 [注册号]
5′-O-[({[(Hydroxyphosphinato)oxy]phosphinato}méthyl)phosphinato]腺苷三钠 [法语] [ACD/IUPAC 名称]
腺苷,5′-O-[羟基[[羟基(膦酰氧基)膦酰基]甲基]膦酰基]-,钠盐(1:3)[ACD/索引名称]
Trinatrium-5′-O-[({[(hydroxyphosphinato)oxy]phosphinato}methyl)phosphinato]腺苷[德语] [ACD/IUPAC名称]
5′-O-[({[(羟基次膦酸)氧基]次膦酸}甲基)次膦酸]腺苷[ACD/IUPAC名称]
?,?-亚甲基腺苷 5′-三磷酸(钠盐)
?,?-亚甲基腺苷 5′-三磷酸(钠盐?)
[(2R,3S,4R,5R)-5-(6-aminopurin-9-yl)-3,4-dihydroxyoxolan-2-yl]甲氧基-[[[羟基(氧化)磷酰基]氧-氧化磷酰基]甲基]次膦酸盐
[1343364-54-4]
5′-[氢P-[[羟基(膦酰氧基)膦酰基]甲基]膦酸酯]腺苷,三钠盐
7292-42-4 [注册号]
a,b-亚甲基腺苷 5′-三磷酸三钠盐
AU7373000
α,β-亚甲基腺苷 5′-三磷酸三钠盐
α,β-亚甲基腺苷 5′-三磷酸(钠盐)
α,β-亚甲基腺苷 5′-三磷酸三钠盐
三钠
三钠和[(2R,3S,4R,5R)-5-(6-aminopurin-9-yl)-3,4-dihydroxyoxolan-2-yl]甲氧基-[[[羟基(氧化)磷酰基]氧-氧化磷酰基]甲基]次膦酸盐
α,β-亚甲基腺苷 5′-三磷酸三钠盐

简化分子线性输入规范(SMILES)

c1nc(c2c(n1)n(cn2)[C@H]3[C@@H]([C@@H]([C@H](O

StdInChI

InChI=1S/C11H18N5O12P3.3Na/c12-9-6-10(14-2-13-9)16(3-15-6)11-8(18)7(17)5(27-11)1-26-29(19,20)4-30(21,22)28-31(23,24)25;;;/h2-3,5,7-8,11,17-18H,1,4H2,(H,19,20)(H,21,22)(H2,12,13,14)(H2,23,24,25);;;/q;3*+1/p-3/t5-,7-,8-,11-;;;/m1…/s1

StdInChIKey

CBAGKCWFSRTVER-MTQUBGKESA-K

分子式

C11H15N5Na3O12P3

分子量

571.154

物理性质

外观

结晶固体

安全信息

危险品运输编号

非危险品

德国水污染物质分类清单(WGK Germany)

3

α,β-亚甲基腺苷 5′-三磷酸(钠盐)CAS 1343364-54-4 的详细规格和其他相关信息

测试方法

核磁;高效液相色谱

纯度

≥95%

保质期

2年

保存条件

长期保存在-20°C 。

用途

常用作核苷酸。

Sales Outside China

This product is sold exclusively through our sales company Watson International Ltd outside China, and please click the link below for details