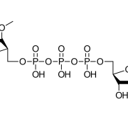
ARCA二代帽 CAS 400806-46-4 结构式

ARCA二代帽 CAS 400806-46-4

基本信息

CAS(化学文摘登记)号

400806-46-4

中文名称

ARCA二代帽

中文别称

m27,3’OG[5′]ppp[5′]G

简化分子线性输入规范(SMILES)

无信息

StdInChI

无信息

StdInChIKey

AIRSQUYUYJSIIM-XPWFQUROSA-N

分子式

C22H31N10O18P3

分子量

816.466

EINECS号

无信息

贝尔斯坦(Beilstein)注册号

无信息

MDL编号

无信息

物理性质

外观

类白色至白色粉末

安全信息

危险品运输编号

非危险品

德国水污染物质分类清单(WGK Germany)

3

ARCA二代帽 CAS 400806-46-4 的详细规格和其他相关信息

测试方法

高效液相色谱

纯度

≥98%

物理状态

100 mM 澄清水溶液; 无色

吸收峰

λmax = 255 nm

Ɛ (最大值)

22,600 cm-1M-1

保质期

未开封状态下保存12个月。

保存条件

长期保存在-20 °C。

Sales Outside China

This product is sold exclusively through our sales company Watson International Ltd outside China, and please click the link below for details