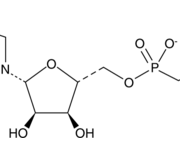
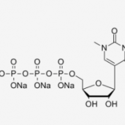
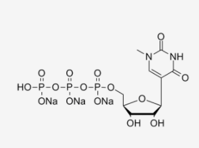
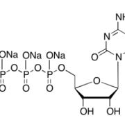
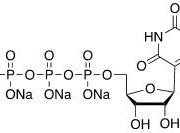
N1-甲基-假尿苷 5'-三磷酸 (UTP),三钠盐溶液 CAS UENA-0196 结构式

N1-甲基-假尿苷 5′-三磷酸 (UTP),三钠盐溶液 CAS UENA-0196

基本信息

CAS(化学文摘登记)号

UENA-0196

中文名称

N1-甲基-假尿苷 5′-三磷酸 (UTP),三钠盐溶液

分子量

564.13

物理性质

外观

类白色粉末

安全信息

危险品运输编号

非危险品

德国水污染物质分类清单(WGK Germany)

3

N1-甲基-假尿苷 5′-三磷酸 (UTP),三钠盐溶液 CAS UENA-0196 的详细规格和其他相关信息

测试方法

核磁;高效液相色谱

纯度

≥99%

保质期

2年

保存条件

保存在-20℃,始终避免冻融循环。

用途

常用作核苷酸。

相关图谱

Sales Outside China

This product is sold exclusively through our sales company Watson International Ltd outside China, and please click the link below for details